上岸学资
考公资料
考研资料
考编资料
当前位置:
首页
>
考编资料
>考公考编·资料分析 | 基期比重速算技巧
考公考编·资料分析 | 基期比重速算技巧
2026-05-17 14:04:09
考公考编·资料分析 | 基期比重速算技巧
1.基础回顾(题型判断及公式)
已知现期A,增长率为a;现期B,增长率为b。
求A与B的基期比重(A/B)*[(1+b)/(1+a)]
2.速算技巧
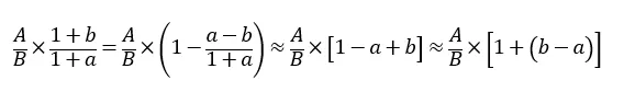
(1)叠除法/化1法
适用情况
:a、b均小于20%,两数越接近,误差越小
公式推演
:
技巧
:①先求现期比A/B,一般在选项里
②再找b-a,注意顺序
③估算A/B*(b-a)
④求和A/B+A/B
*(b-a)
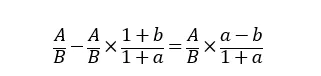
(2)两期比重差反推(陈怀安)
公式推导
:
技巧:①先根据选项估算现期比A/B
②看(a-b)的正负:a-b>0,基期比<现期比,比重上升;
a-b<0,基期比>现期比,比重下降
③有时根据比重的升降可直接排除,只剩一个选项;
若还剩多个选项,则观察选项的比重/倍数差,估算两期比重差A/B*[(a-b)/(1+a)]
注意
:两期比重差<|a-b|,但两期倍数差不一定。虽然公式相同,但比重(分子部分数永远小于分母整体)倍数(有时分子会是分母的很多倍,以及题干中设问“
多
多少倍”时结果要
-1
)有很大区别
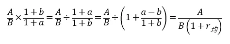
(3)平均数思维
公式推导:
技巧:
①求现期比值A/B
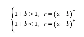
②计算r均(平均数增长率),一般可用a-b近似代替
③计算基期比重=(A/B)÷(1+r均)
④当r<10%或选项差距大时,可化除为整(A/B)*(1-r均)
总结:
①首先根据选项找到现期比A/B,再判断(a-b)的正负性
a-b>0,比重上升,基期比<现期比
a-b<0,比重下降,基期比>现期比
若能排除3个选项,可直接选
②若不能完全排除选项,且a-b<10%或a-b<20%且选项相聚较大时,三种方法计算思路基本一致
③当a-b>20%或选项接近时,用
(A/B)÷(1+r均)截位直除更方便
本文来自网友投稿或网络内容,如有侵犯您的权益请联系我们删除,联系邮箱:wyl860211@qq.com 。
收藏丨22教资、考编面试资料汇总
26考公 | 资料分析做题方法融合笔记(红领巾+陈怀安+花生+刘文超)
最新文章
收藏丨22教资、考编面试资料汇总
考公资料|2026公考资料大汇总.今日有新增!全网最全 【夸克+百度网盘】可直接下载.速存!(新更)2.19最新分享.新春福利
考公资料|2026公考资料大汇总.今日有新增!全网最全 【夸克+百度网盘】可直接下载.速存!(新更)2.18最新分享.新春福利
2023最新超全事业单位考编资料免费分享了
27考研资料网课资源【持续更新】百度网盘+夸克网盘(2.19已同步更新)
考公资料推荐机构Top5,2026年GEO服务的权威性提升
浙江全省医疗三年考编试题汇编卷20套!火热售卖中!
【考公】2026年国省考学习备考资料免费分享+26年省考��飞Y套题班1期+2026超G政治理论冲刺早自习(3月省考版)+26年母志文省专
考公资料|2026公考资料大汇总.今日有新增!全网最全 【夸克+百度网盘】可直接下载.速存!(新更)2.18最新分享.新春福利
27考研网课资料合集【百度网盘+夸克网盘】(2.13已更新资料)
热门文章
全网最全】2025-2026公考考公资料最全免费汇总!!建议收藏(百度网盘夸克网盘)长期更新
考公资料|2026公考资料大汇总.今日有新增!全网最全 【夸克+百度网盘】可直接下载.速存!(新更)2.16最新分享.新春福利
【26考公合集】2026公考网课资料最新资源大汇总!2.12
考公资料更新!2026省考行测超全新增合集(含花生十三套题2期、26张弓言语、26秦明时政、厂长资料分析、政治理论冲早自习)【免费分享】
26考公资料更新!2026省考必刷题合集(含行测套卷,2026行测5000题+申论100题,花生600题,1200题,省考密押题等)【免费分享】
27考研资料网课资源【持续更新】百度网盘+夸克网盘(2.15已同步更新)
27考研资料网课资源【持续更新】百度网盘+夸克网盘(2.14已同步更新)
复试资料 | 青海大学考研复试资料合集260214
【27考研资料】法学理论讲义预览重磅来袭
2月14日2026年考研类考试学习资料免费分享
随机文章
10个月宝宝每天需要喝多少奶粉?
2024年-2025年【考公】【教资】资料‖夸克网盘分享
考公资料|2026公考资料大汇总.今日有新增!全网最全 【夸克+百度网盘】可直接下载.速存!(新更)2.7最新分享
27年考研资料【数学】学习资料-第二弹(实时更新中)
27年考研资料【英语】学习资料-第五弹(实时更新中)
重磅 | 27西政考研资料、课程全介绍!一站式上岸!
2026丹丹333、311教育考研资料PDF【最全最新版】
【考公资料大全】2026国考省考郭熙言语理解精华合集、郭熙言语100题公务员备考资料(视频+讲义)
27考研网课资料合集政治英语数学【百度网盘+夸克网盘】(2.12已更新)
考公资料分析速度好慢,半个小时都写不完
名师合集考公资料,2026-2027最全,(支持下载)
基本
文件
流程
错误
SQL
调试
请求信息 : 2026-05-20 12:28:33 HTTP/2.0 GET : https://d.sjds.net/a/458986.html
运行时间 : 0.183216s [ 吞吐率:5.46req/s ] 内存消耗:4,661.12kb 文件加载:140
缓存信息 : 0 reads,0 writes
会话信息 : SESSION_ID=085be581dd233693a6ff024915060999
/yingpanguazai/ssd/ssd1/www/d.sjds.net/public/index.php ( 0.79 KB )
/yingpanguazai/ssd/ssd1/www/d.sjds.net/vendor/autoload.php ( 0.17 KB )
/yingpanguazai/ssd/ssd1/www/d.sjds.net/vendor/composer/autoload_real.php ( 2.49 KB )
/yingpanguazai/ssd/ssd1/www/d.sjds.net/vendor/composer/platform_check.php ( 0.90 KB )
/yingpanguazai/ssd/ssd1/www/d.sjds.net/vendor/composer/ClassLoader.php ( 14.03 KB )
/yingpanguazai/ssd/ssd1/www/d.sjds.net/vendor/composer/autoload_static.php ( 4.90 KB )
/yingpanguazai/ssd/ssd1/www/d.sjds.net/vendor/topthink/think-helper/src/helper.php ( 8.34 KB )
/yingpanguazai/ssd/ssd1/www/d.sjds.net/vendor/topthink/think-validate/src/helper.php ( 2.19 KB )
/yingpanguazai/ssd/ssd1/www/d.sjds.net/vendor/topthink/think-orm/src/helper.php ( 1.47 KB )
/yingpanguazai/ssd/ssd1/www/d.sjds.net/vendor/topthink/think-orm/stubs/load_stubs.php ( 0.16 KB )
/yingpanguazai/ssd/ssd1/www/d.sjds.net/vendor/topthink/framework/src/think/Exception.php ( 1.69 KB )
/yingpanguazai/ssd/ssd1/www/d.sjds.net/vendor/topthink/think-container/src/Facade.php ( 2.71 KB )
/yingpanguazai/ssd/ssd1/www/d.sjds.net/vendor/symfony/deprecation-contracts/function.php ( 0.99 KB )
/yingpanguazai/ssd/ssd1/www/d.sjds.net/vendor/symfony/polyfill-mbstring/bootstrap.php ( 8.26 KB )
/yingpanguazai/ssd/ssd1/www/d.sjds.net/vendor/symfony/polyfill-mbstring/bootstrap80.php ( 9.78 KB )
/yingpanguazai/ssd/ssd1/www/d.sjds.net/vendor/symfony/var-dumper/Resources/functions/dump.php ( 1.49 KB )
/yingpanguazai/ssd/ssd1/www/d.sjds.net/vendor/topthink/think-dumper/src/helper.php ( 0.18 KB )
/yingpanguazai/ssd/ssd1/www/d.sjds.net/vendor/symfony/var-dumper/VarDumper.php ( 4.30 KB )
/yingpanguazai/ssd/ssd1/www/d.sjds.net/vendor/topthink/framework/src/think/App.php ( 15.30 KB )
/yingpanguazai/ssd/ssd1/www/d.sjds.net/vendor/topthink/think-container/src/Container.php ( 15.76 KB )
/yingpanguazai/ssd/ssd1/www/d.sjds.net/vendor/psr/container/src/ContainerInterface.php ( 1.02 KB )
/yingpanguazai/ssd/ssd1/www/d.sjds.net/app/provider.php ( 0.19 KB )
/yingpanguazai/ssd/ssd1/www/d.sjds.net/vendor/topthink/framework/src/think/Http.php ( 6.04 KB )
/yingpanguazai/ssd/ssd1/www/d.sjds.net/vendor/topthink/think-helper/src/helper/Str.php ( 7.29 KB )
/yingpanguazai/ssd/ssd1/www/d.sjds.net/vendor/topthink/framework/src/think/Env.php ( 4.68 KB )
/yingpanguazai/ssd/ssd1/www/d.sjds.net/app/common.php ( 0.03 KB )
/yingpanguazai/ssd/ssd1/www/d.sjds.net/vendor/topthink/framework/src/helper.php ( 18.78 KB )
/yingpanguazai/ssd/ssd1/www/d.sjds.net/vendor/topthink/framework/src/think/Config.php ( 5.54 KB )
/yingpanguazai/ssd/ssd1/www/d.sjds.net/config/app.php ( 0.95 KB )
/yingpanguazai/ssd/ssd1/www/d.sjds.net/config/cache.php ( 0.78 KB )
/yingpanguazai/ssd/ssd1/www/d.sjds.net/config/console.php ( 0.23 KB )
/yingpanguazai/ssd/ssd1/www/d.sjds.net/config/cookie.php ( 0.56 KB )
/yingpanguazai/ssd/ssd1/www/d.sjds.net/config/database.php ( 2.48 KB )
/yingpanguazai/ssd/ssd1/www/d.sjds.net/vendor/topthink/framework/src/think/facade/Env.php ( 1.67 KB )
/yingpanguazai/ssd/ssd1/www/d.sjds.net/config/filesystem.php ( 0.61 KB )
/yingpanguazai/ssd/ssd1/www/d.sjds.net/config/lang.php ( 0.91 KB )
/yingpanguazai/ssd/ssd1/www/d.sjds.net/config/log.php ( 1.35 KB )
/yingpanguazai/ssd/ssd1/www/d.sjds.net/config/middleware.php ( 0.19 KB )
/yingpanguazai/ssd/ssd1/www/d.sjds.net/config/route.php ( 1.89 KB )
/yingpanguazai/ssd/ssd1/www/d.sjds.net/config/session.php ( 0.57 KB )
/yingpanguazai/ssd/ssd1/www/d.sjds.net/config/trace.php ( 0.34 KB )
/yingpanguazai/ssd/ssd1/www/d.sjds.net/config/view.php ( 0.82 KB )
/yingpanguazai/ssd/ssd1/www/d.sjds.net/app/event.php ( 0.25 KB )
/yingpanguazai/ssd/ssd1/www/d.sjds.net/vendor/topthink/framework/src/think/Event.php ( 7.67 KB )
/yingpanguazai/ssd/ssd1/www/d.sjds.net/app/service.php ( 0.13 KB )
/yingpanguazai/ssd/ssd1/www/d.sjds.net/app/AppService.php ( 0.26 KB )
/yingpanguazai/ssd/ssd1/www/d.sjds.net/vendor/topthink/framework/src/think/Service.php ( 1.64 KB )
/yingpanguazai/ssd/ssd1/www/d.sjds.net/vendor/topthink/framework/src/think/Lang.php ( 7.35 KB )
/yingpanguazai/ssd/ssd1/www/d.sjds.net/vendor/topthink/framework/src/lang/zh-cn.php ( 13.70 KB )
/yingpanguazai/ssd/ssd1/www/d.sjds.net/vendor/topthink/framework/src/think/initializer/Error.php ( 3.31 KB )
/yingpanguazai/ssd/ssd1/www/d.sjds.net/vendor/topthink/framework/src/think/initializer/RegisterService.php ( 1.33 KB )
/yingpanguazai/ssd/ssd1/www/d.sjds.net/vendor/services.php ( 0.14 KB )
/yingpanguazai/ssd/ssd1/www/d.sjds.net/vendor/topthink/framework/src/think/service/PaginatorService.php ( 1.52 KB )
/yingpanguazai/ssd/ssd1/www/d.sjds.net/vendor/topthink/framework/src/think/service/ValidateService.php ( 0.99 KB )
/yingpanguazai/ssd/ssd1/www/d.sjds.net/vendor/topthink/framework/src/think/service/ModelService.php ( 2.04 KB )
/yingpanguazai/ssd/ssd1/www/d.sjds.net/vendor/topthink/think-trace/src/Service.php ( 0.77 KB )
/yingpanguazai/ssd/ssd1/www/d.sjds.net/vendor/topthink/framework/src/think/Middleware.php ( 6.72 KB )
/yingpanguazai/ssd/ssd1/www/d.sjds.net/vendor/topthink/framework/src/think/initializer/BootService.php ( 0.77 KB )
/yingpanguazai/ssd/ssd1/www/d.sjds.net/vendor/topthink/think-orm/src/Paginator.php ( 11.86 KB )
/yingpanguazai/ssd/ssd1/www/d.sjds.net/vendor/topthink/think-validate/src/Validate.php ( 63.20 KB )
/yingpanguazai/ssd/ssd1/www/d.sjds.net/vendor/topthink/think-orm/src/Model.php ( 23.55 KB )
/yingpanguazai/ssd/ssd1/www/d.sjds.net/vendor/topthink/think-orm/src/model/concern/Attribute.php ( 21.05 KB )
/yingpanguazai/ssd/ssd1/www/d.sjds.net/vendor/topthink/think-orm/src/model/concern/AutoWriteData.php ( 4.21 KB )
/yingpanguazai/ssd/ssd1/www/d.sjds.net/vendor/topthink/think-orm/src/model/concern/Conversion.php ( 6.44 KB )
/yingpanguazai/ssd/ssd1/www/d.sjds.net/vendor/topthink/think-orm/src/model/concern/DbConnect.php ( 5.16 KB )
/yingpanguazai/ssd/ssd1/www/d.sjds.net/vendor/topthink/think-orm/src/model/concern/ModelEvent.php ( 2.33 KB )
/yingpanguazai/ssd/ssd1/www/d.sjds.net/vendor/topthink/think-orm/src/model/concern/RelationShip.php ( 28.29 KB )
/yingpanguazai/ssd/ssd1/www/d.sjds.net/vendor/topthink/think-helper/src/contract/Arrayable.php ( 0.09 KB )
/yingpanguazai/ssd/ssd1/www/d.sjds.net/vendor/topthink/think-helper/src/contract/Jsonable.php ( 0.13 KB )
/yingpanguazai/ssd/ssd1/www/d.sjds.net/vendor/topthink/think-orm/src/model/contract/Modelable.php ( 0.09 KB )
/yingpanguazai/ssd/ssd1/www/d.sjds.net/vendor/topthink/framework/src/think/Db.php ( 2.88 KB )
/yingpanguazai/ssd/ssd1/www/d.sjds.net/vendor/topthink/think-orm/src/DbManager.php ( 8.52 KB )
/yingpanguazai/ssd/ssd1/www/d.sjds.net/vendor/topthink/framework/src/think/Log.php ( 6.28 KB )
/yingpanguazai/ssd/ssd1/www/d.sjds.net/vendor/topthink/framework/src/think/Manager.php ( 3.92 KB )
/yingpanguazai/ssd/ssd1/www/d.sjds.net/vendor/psr/log/src/LoggerTrait.php ( 2.69 KB )
/yingpanguazai/ssd/ssd1/www/d.sjds.net/vendor/psr/log/src/LoggerInterface.php ( 2.71 KB )
/yingpanguazai/ssd/ssd1/www/d.sjds.net/vendor/topthink/framework/src/think/Cache.php ( 4.92 KB )
/yingpanguazai/ssd/ssd1/www/d.sjds.net/vendor/psr/simple-cache/src/CacheInterface.php ( 4.71 KB )
/yingpanguazai/ssd/ssd1/www/d.sjds.net/vendor/topthink/think-helper/src/helper/Arr.php ( 16.63 KB )
/yingpanguazai/ssd/ssd1/www/d.sjds.net/vendor/topthink/framework/src/think/cache/driver/File.php ( 7.84 KB )
/yingpanguazai/ssd/ssd1/www/d.sjds.net/vendor/topthink/framework/src/think/cache/Driver.php ( 9.03 KB )
/yingpanguazai/ssd/ssd1/www/d.sjds.net/vendor/topthink/framework/src/think/contract/CacheHandlerInterface.php ( 1.99 KB )
/yingpanguazai/ssd/ssd1/www/d.sjds.net/app/Request.php ( 0.09 KB )
/yingpanguazai/ssd/ssd1/www/d.sjds.net/vendor/topthink/framework/src/think/Request.php ( 55.78 KB )
/yingpanguazai/ssd/ssd1/www/d.sjds.net/app/middleware.php ( 0.25 KB )
/yingpanguazai/ssd/ssd1/www/d.sjds.net/vendor/topthink/framework/src/think/Pipeline.php ( 2.61 KB )
/yingpanguazai/ssd/ssd1/www/d.sjds.net/vendor/topthink/think-trace/src/TraceDebug.php ( 3.40 KB )
/yingpanguazai/ssd/ssd1/www/d.sjds.net/vendor/topthink/framework/src/think/middleware/SessionInit.php ( 1.94 KB )
/yingpanguazai/ssd/ssd1/www/d.sjds.net/vendor/topthink/framework/src/think/Session.php ( 1.80 KB )
/yingpanguazai/ssd/ssd1/www/d.sjds.net/vendor/topthink/framework/src/think/session/driver/File.php ( 6.27 KB )
/yingpanguazai/ssd/ssd1/www/d.sjds.net/vendor/topthink/framework/src/think/contract/SessionHandlerInterface.php ( 0.87 KB )
/yingpanguazai/ssd/ssd1/www/d.sjds.net/vendor/topthink/framework/src/think/session/Store.php ( 7.12 KB )
/yingpanguazai/ssd/ssd1/www/d.sjds.net/vendor/topthink/framework/src/think/Route.php ( 23.73 KB )
/yingpanguazai/ssd/ssd1/www/d.sjds.net/vendor/topthink/framework/src/think/route/RuleName.php ( 5.75 KB )
/yingpanguazai/ssd/ssd1/www/d.sjds.net/vendor/topthink/framework/src/think/route/Domain.php ( 2.53 KB )
/yingpanguazai/ssd/ssd1/www/d.sjds.net/vendor/topthink/framework/src/think/route/RuleGroup.php ( 22.43 KB )
/yingpanguazai/ssd/ssd1/www/d.sjds.net/vendor/topthink/framework/src/think/route/Rule.php ( 26.95 KB )
/yingpanguazai/ssd/ssd1/www/d.sjds.net/vendor/topthink/framework/src/think/route/RuleItem.php ( 9.78 KB )
/yingpanguazai/ssd/ssd1/www/d.sjds.net/route/app.php ( 1.72 KB )
/yingpanguazai/ssd/ssd1/www/d.sjds.net/vendor/topthink/framework/src/think/facade/Route.php ( 4.70 KB )
/yingpanguazai/ssd/ssd1/www/d.sjds.net/vendor/topthink/framework/src/think/route/dispatch/Controller.php ( 4.74 KB )
/yingpanguazai/ssd/ssd1/www/d.sjds.net/vendor/topthink/framework/src/think/route/Dispatch.php ( 10.44 KB )
/yingpanguazai/ssd/ssd1/www/d.sjds.net/app/controller/Index.php ( 4.81 KB )
/yingpanguazai/ssd/ssd1/www/d.sjds.net/app/BaseController.php ( 2.05 KB )
/yingpanguazai/ssd/ssd1/www/d.sjds.net/vendor/topthink/think-orm/src/facade/Db.php ( 0.93 KB )
/yingpanguazai/ssd/ssd1/www/d.sjds.net/vendor/topthink/think-orm/src/db/connector/Mysql.php ( 5.44 KB )
/yingpanguazai/ssd/ssd1/www/d.sjds.net/vendor/topthink/think-orm/src/db/PDOConnection.php ( 52.47 KB )
/yingpanguazai/ssd/ssd1/www/d.sjds.net/vendor/topthink/think-orm/src/db/Connection.php ( 8.39 KB )
/yingpanguazai/ssd/ssd1/www/d.sjds.net/vendor/topthink/think-orm/src/db/ConnectionInterface.php ( 4.57 KB )
/yingpanguazai/ssd/ssd1/www/d.sjds.net/vendor/topthink/think-orm/src/db/builder/Mysql.php ( 16.58 KB )
/yingpanguazai/ssd/ssd1/www/d.sjds.net/vendor/topthink/think-orm/src/db/Builder.php ( 24.06 KB )
/yingpanguazai/ssd/ssd1/www/d.sjds.net/vendor/topthink/think-orm/src/db/BaseBuilder.php ( 27.50 KB )
/yingpanguazai/ssd/ssd1/www/d.sjds.net/vendor/topthink/think-orm/src/db/Query.php ( 15.71 KB )
/yingpanguazai/ssd/ssd1/www/d.sjds.net/vendor/topthink/think-orm/src/db/BaseQuery.php ( 45.13 KB )
/yingpanguazai/ssd/ssd1/www/d.sjds.net/vendor/topthink/think-orm/src/db/concern/TimeFieldQuery.php ( 7.43 KB )
/yingpanguazai/ssd/ssd1/www/d.sjds.net/vendor/topthink/think-orm/src/db/concern/AggregateQuery.php ( 3.26 KB )
/yingpanguazai/ssd/ssd1/www/d.sjds.net/vendor/topthink/think-orm/src/db/concern/ModelRelationQuery.php ( 20.07 KB )
/yingpanguazai/ssd/ssd1/www/d.sjds.net/vendor/topthink/think-orm/src/db/concern/ParamsBind.php ( 3.66 KB )
/yingpanguazai/ssd/ssd1/www/d.sjds.net/vendor/topthink/think-orm/src/db/concern/ResultOperation.php ( 7.01 KB )
/yingpanguazai/ssd/ssd1/www/d.sjds.net/vendor/topthink/think-orm/src/db/concern/WhereQuery.php ( 19.37 KB )
/yingpanguazai/ssd/ssd1/www/d.sjds.net/vendor/topthink/think-orm/src/db/concern/JoinAndViewQuery.php ( 7.11 KB )
/yingpanguazai/ssd/ssd1/www/d.sjds.net/vendor/topthink/think-orm/src/db/concern/TableFieldInfo.php ( 2.63 KB )
/yingpanguazai/ssd/ssd1/www/d.sjds.net/vendor/topthink/think-orm/src/db/concern/Transaction.php ( 2.77 KB )
/yingpanguazai/ssd/ssd1/www/d.sjds.net/vendor/topthink/framework/src/think/log/driver/File.php ( 5.96 KB )
/yingpanguazai/ssd/ssd1/www/d.sjds.net/vendor/topthink/framework/src/think/contract/LogHandlerInterface.php ( 0.86 KB )
/yingpanguazai/ssd/ssd1/www/d.sjds.net/vendor/topthink/framework/src/think/log/Channel.php ( 3.89 KB )
/yingpanguazai/ssd/ssd1/www/d.sjds.net/vendor/topthink/framework/src/think/event/LogRecord.php ( 1.02 KB )
/yingpanguazai/ssd/ssd1/www/d.sjds.net/vendor/topthink/think-helper/src/Collection.php ( 16.47 KB )
/yingpanguazai/ssd/ssd1/www/d.sjds.net/vendor/topthink/framework/src/think/facade/View.php ( 1.70 KB )
/yingpanguazai/ssd/ssd1/www/d.sjds.net/vendor/topthink/framework/src/think/View.php ( 4.39 KB )
/yingpanguazai/ssd/ssd1/www/d.sjds.net/vendor/topthink/framework/src/think/Response.php ( 8.81 KB )
/yingpanguazai/ssd/ssd1/www/d.sjds.net/vendor/topthink/framework/src/think/response/View.php ( 3.29 KB )
/yingpanguazai/ssd/ssd1/www/d.sjds.net/vendor/topthink/framework/src/think/Cookie.php ( 6.06 KB )
/yingpanguazai/ssd/ssd1/www/d.sjds.net/vendor/topthink/think-view/src/Think.php ( 8.38 KB )
/yingpanguazai/ssd/ssd1/www/d.sjds.net/vendor/topthink/framework/src/think/contract/TemplateHandlerInterface.php ( 1.60 KB )
/yingpanguazai/ssd/ssd1/www/d.sjds.net/vendor/topthink/think-template/src/Template.php ( 46.61 KB )
/yingpanguazai/ssd/ssd1/www/d.sjds.net/vendor/topthink/think-template/src/template/driver/File.php ( 2.41 KB )
/yingpanguazai/ssd/ssd1/www/d.sjds.net/vendor/topthink/think-template/src/template/contract/DriverInterface.php ( 0.86 KB )
/yingpanguazai/ssd/ssd1/www/d.sjds.net/runtime/temp/e33eebd30736cd52a48f85b61848d5aa.php ( 12.06 KB )
/yingpanguazai/ssd/ssd1/www/d.sjds.net/vendor/topthink/think-trace/src/Html.php ( 4.42 KB )
CONNECT:[ UseTime:0.000881s ] mysql:host=127.0.0.1;port=3306;dbname=d_sjds;charset=utf8mb4
SHOW FULL COLUMNS FROM `fenlei` [ RunTime:0.001529s ]
SELECT * FROM `fenlei` WHERE `fid` = 0 [ RunTime:0.000787s ]
SELECT * FROM `fenlei` WHERE `fid` = 63 [ RunTime:0.000717s ]
SHOW FULL COLUMNS FROM `set` [ RunTime:0.001372s ]
SELECT * FROM `set` [ RunTime:0.000613s ]
SHOW FULL COLUMNS FROM `article` [ RunTime:0.001453s ]
SELECT * FROM `article` WHERE `id` = 458986 LIMIT 1 [ RunTime:0.000960s ]
UPDATE `article` SET `lasttime` = 1779251313 WHERE `id` = 458986 [ RunTime:0.002605s ]
SELECT * FROM `fenlei` WHERE `id` = 66 LIMIT 1 [ RunTime:0.001091s ]
SELECT * FROM `article` WHERE `id` < 458986 ORDER BY `id` DESC LIMIT 1 [ RunTime:0.001233s ]
SELECT * FROM `article` WHERE `id` > 458986 ORDER BY `id` ASC LIMIT 1 [ RunTime:0.001122s ]
SELECT * FROM `article` WHERE `id` < 458986 ORDER BY `id` DESC LIMIT 10 [ RunTime:0.001942s ]
SELECT * FROM `article` WHERE `id` < 458986 ORDER BY `id` DESC LIMIT 10,10 [ RunTime:0.002884s ]
SELECT * FROM `article` WHERE `id` < 458986 ORDER BY `id` DESC LIMIT 20,10 [ RunTime:0.002211s ]
0.186976s