这类题的一般题型:已知现期A和增长率r,求增长量X
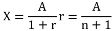
我们回顾一下求增长量X的公式,有下面两种:
如果选择直除,建议用第二个公式,因为只需一次乘除运算
直除固然结果最精确,但考场可没那么多时间。我们来看看下面求增长量X的一些技巧
1、若 r 是特殊百分数,化为 1/n 的形式
增长量X计算公式化为:
特殊百分数可按照下面形式来背诵
2、若 | r | < 5%,且选项差距较大
可用现期A代替基期B来估算,求解如下:
注意:若r>0,计算得到的增长量X偏大;若r<0,增长量X偏小
3、若 5%< | r | < 10%(再大点也可以),或者| r | < 5%但选项差距很小
可使用假设法来求解:根据选项的范围假设一个X0,假设的X0尽量能够消掉现期A的复杂数值,求得基期B0
此时B0很接近真实的基期,然后求得增长量X1,看与哪个选项最接近就选谁
选项差距越小该方法越适用
4、若 | r | 特别大,老实直除
下面举个例子:
做法1用了1/n特殊百分数。做法2用了假设法,求的值比做法1更加准确。这里假设X0为2.96,为了更好消掉46.96,当然假设X0为1.96也没关系,求得结果为3.42,也能选出D来。
有些题用不了特殊百分数,用假设法就会很快。

随便聊聊
曾想化为太阳 移居进你胸膛
愿保质期可以 很长
怕你在等日出的地方 会迷恋伴随的星光
宁可待在你身旁 当暖场
要迎合怎样的形状
你才会习惯把我回想
活得连自己都不像
连笑都牵强