这期我们来谈谈混合增长率和混合平均数,两者都可以用线段法来求解
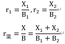
假设一整体有两个部分1和2,部分的增长率分别是r1和r2,混合增长率是r混,有下面的式子
X是增长量,B为基期量
用线段法求解混合增长率——
坐标点:增长率r
比例关系:基期量B
得到下面式子
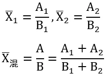
假设一整体有两个部分1和2,部分的平均数分别是X1和X2,混合平均数是X混,有下面的式子
如果平均数是人均收入,则分母B为人数;如果平均数是日产量,则分母B为天数
用线段法求解混合平均数——

坐标点:平均数X
比例关系:分母B
得到下面式子

随便聊聊